Kazakhstan

Джон Берриман, Альберт Циглер

Промпт-инжиниринг для LLM. Искусство построения приложений на основе больших языковых моделей

ISBN: 978-601-12-3473-3

Мягкая обложка

288 стр.

Формат: 17x23 см

2025

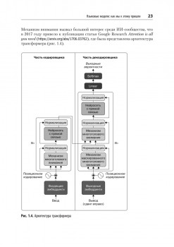
Большие языковые модели (LLM) кардинально меняют мир, обещая автоматизацию различных задач и решение сложных проблем. Программные приложения последнего поколения используют эти модели в качестве строительных блоков для создания новых возможностей практически во всех областях, но, чтобы пользоваться этими возможностями, нужны навыки. Книга расскажет о науке и искусстве промпт-инжиниринга, и эти знания помогут вам раскрыть истинный потенциал LLM. Опытнейшие эксперты Джон Берриман и Альберт Циглер поделятся приемами эффективного взаимодействия с ИИ и расскажут, как представлять свои идеи в формате, удобном для языковой модели. Освоив философские основы и практические приемы, вы обретете знания и уверенность, необходимые для создания приложений нового поколения на базе LLM.